2025年11月5日,北京師范大學徐佳路老師指導研究生張宗亮在Nature Communications期刊在線發表了題為“Decadal changes in wind speed have offset and then aggravated the impact of warming on maize production in China since 1980”的研究論文。
風速是氣候變化影響評估中一個被嚴重忽視的變量,研究發現風速變化對玉米單產存在顯著影響。在歷史風速靜止(下降)階段,風速趨勢抵消了升溫對玉米生產帶來的負面影響;但隨著風速靜止趨勢逆轉(上升),風溫共同升高,玉米減產風險加劇。該研究凸顯了在評估氣候變化對糧食生產的影響時,必須系統考慮風的作用,為深入理解氣候影響及制定適應措施提供了重要參考。
風對作物生長和產量形成的主要影響
風速是影響植物生長的重要環境因子。它可直接調節氣孔導度、改變葉片姿態、影響冠層光截獲,進而調控光合作用與蒸騰作用等關鍵生理過程。此外,風常與其他環境因素互作影響蒸散發,從而改變植物生長的水熱條件。

在特定情況下,風可能引發土壤侵蝕與養分流失,或導致葉片撕裂、莖稈倒伏等直接機械損傷。生態系統尺度的研究已揭示風速變化對植被的大范圍影響,田塊及作物尺度的研究也積累了風影響作物生長與產量形成的證據。然而,在宏觀時空尺度上,風對作物的影響仍有待進一步闡明。

圖1. 風對作物生長和產量形成的主要影響
歷史風速趨勢及玉米單產對風速的響應
近幾十年來,全球多地近地表風速出現了顯著的靜止和逆轉趨勢。本研究發現,我國大部分玉米種植區在生育期內也存在類似氣候變化規律。1980?2010年間,風速以0.013 m s-1 yr-1的速率顯著下降;2011?2017年間,風速以0.05 m s-1 yr-1的速率迅速回升。
在研究期內,溫度以0.03 °C yr-1的速率持續上升,降水未表現出顯著變化趨勢。基于多源觀測數據,本研究構建了氣象-單產固定效應模型,發現玉米單產與風速之間存在顯著負相關:風速距平每增加1m/s,玉米單產平均下降9.4%。該關系通過了多項穩健性檢驗。

圖2. 玉米單產對風速距平的響應及穩健性
歷史風速趨勢對玉米生產的影響
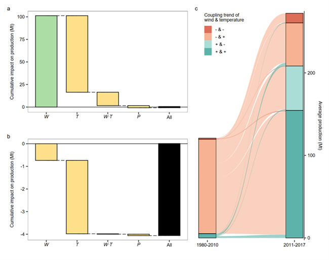
研究進一步評估了我國歷史風速變化對玉米生產的累計影響。結果顯示,1980?2010年年風速減弱期間,風速下降趨勢累計促進全國玉米增產101 Mt,完全抵消了同期因升溫所造成的產量損失。然而,2011年之后風速趨勢發生逆轉,其抵消效應顯著減弱。

圖3. 歷史氣候趨勢對玉米產量的影響
盡管從全國累計影響來看,風速變化的整體效應仍為增產,但在縣級尺度上已出現風速與溫度共同導致減產的情況。1980?2010年間,受風溫共同升高影響的縣域其玉米產量僅占全國的4.3%;而在風速趨勢逆轉后,這一比例上升至55.3%。表明風溫共同升高對玉米生產的威脅正在不斷擴大。

圖4. 典型風溫趨勢組合及其對玉米產量的累積影響
作物模型在評估風速影響上的表現
研究進一步探討了風速影響被忽視的原因,主要可歸結為數據差距與機理不足兩方面。基于ISIMIP3a數據的分析顯示,現有作物模型在表征歷史風速趨勢影響方面存在明顯局限:
再分析氣象數據難以準確反映實際風速變化趨勢,導致模擬結果與本研究的觀測事實差異顯著
作物模型中尚未完整納入與風相關的機理,造成其對歷史風速變化影響的低估
為更全面評估風速對糧食生產的影響,未來仍需持續改進氣象數據質量并完善作物模型中對風速機制的刻畫。
研究團隊與資助信息
教育部巨災模擬與系統性風險應對國際合作聯合實驗室及北京師范大學國家安全與應急管理學院為論文的第一及第二單位,碩士研究生張宗亮為論文第一作者,徐佳路副教授為本文通訊作者。
合作者還包括:
北師大糧食安全團隊張朝教授
博士研究生莊慧敏、李少坤
西湖大學張羽中研究員
中國科學院地理科學與資源研究所陶福祿研究員
該研究得到以下項目資助:
國家自然科學基金(42301187、42061144003)
中央高校基本科研業務費專項資金(2243300007)
原文://doi.org/10.1038/s41467-025-64725-z













